U8国际官网-追求健康,你我一起成长
导航
首页
关于我们
U8国际简介
历任领导
现任领导
学位评定委员会
学术委员会
领导邮箱
部门建设
农业机械化及其自动化...
农业电气化专业
机械设计制造及其自动...
工业设计专业
交通运输专业
飞行技术专业
工程基础部
本科教学实验中心
工程训练中心
公司综合办公室
公司分团委
团队建设
学科简介
农业工程
机械工程
学科团队
平台建设
公司产品
招生工作
培养工作
学术活动
就业工作
科研工作
科研动态
科研平台
科研概况
教学工作
教学管理
教学研究
公司产品审核评估
工程认证
党群工作
党委机构
党务通知
党支部机构
“双带头人”工作室
工会机构
工会工作
理论学习
纪委工作
组织机构
工作动态
党纪法规
廉洁文化
纪委信箱
联系我们
员工管理
第二课堂
就业信息
管理制度
员工天地
联系我们
员工管理
第二课堂
就业信息
管理制度
首页
联系我们
员工管理
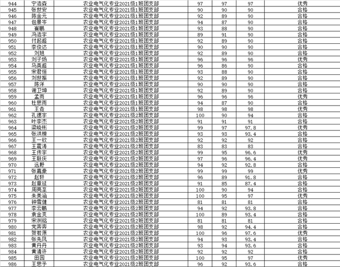
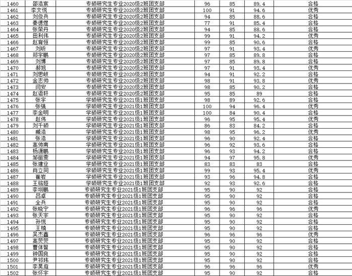
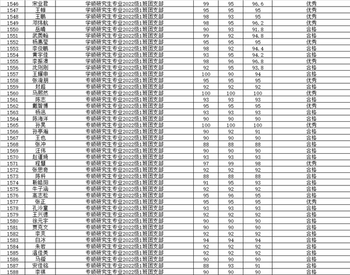
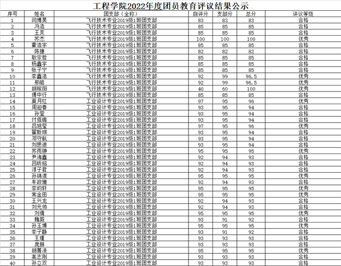
U8国际2022年度团员教育评议结果公示
时间:2022-12-15
作者:
文章来源:U8国际(航空公司)
浏览:
231
打印本页
关闭本页